Authenticating Mulberry bags
C$10,000
Size
Not for sale
Like and save for later
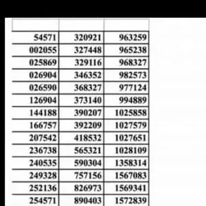
As many of you know, and regularly come to me for authentication, I can see that in the past few months that the imposter mulberry bags are more than half of the listings on PM right now and many sellers are fighting me on this when I inform them! They are even telling their buyers that their items are authentic when they clearly are not! Be careful and report those listings! Please note that the new bayswaters and many newer bags by Mulberry, no longer have serial numbers or the front logo tree any longer. Above is the lost of serial numbers to watch out for! if it's on this list, don't purchase it!
Shipping/Discount





emes78
and
48 others
like this
12 Comments

keriggan21
Thank you for sharing this. You are awesome and very helpful 🤗🥳
Apr 09Reply

abitofbritt
@keriggan21 No problem. Glad I can be helpful 🥰
Apr 09Reply

katt2761
Thankyou for sharing this. I will definitely check back to this page next time!
Sep 16Reply

abitofbritt
@katt2761 absolutely. Lots of buyers come to me asking for legit checks and I'm always happy to help. You're more than welcome to ask me for help if you're ever not sure. I'm glad the seller was able to find out for herself that the bag wasn't real and canceled your order. 🥰
Sep 16Reply

ange_fk
@abitofbritt hello! Sorry to contact you in this manner...I am still relatively new to selling. I have lovely Mulberry Abbey cross-body leather bucket bag listed. I bought it at the Mulberry store, so know its real, but don't have a receipt, so wondering if you have a recommendation on where to get it authenticated. It doesn't have a serial #. Little tag inside says Turkey/TD1.
Apr 07Reply

abitofbritt
@ange_fk Sent you a message on the customer's bundle. 🥰
Apr 07Reply

ange_fk
@abitofbritt got it and thanks soooooo much!
Apr 07Reply

abitofbritt
@ange_fk anytime 😊
Apr 07Reply

kriskay590
I recently made a listing like this for Céline sunglasses. Be careful there’s a lot of fakes right now.
Mar 10Reply

abitofbritt
@kristinakenn590 absolutely! glad someone else is with me on this. 🥰
Mar 10Reply

kriskay590
@abitofbritt I’m so sick of seeing so many scammers on here and they’re ripping off good customers. I’ve flagged the listings over and over but they never get taken down. It’s very frustrating.
Mar 10Reply

abitofbritt
@kristinakenn590 I know 😭 it's the absolute worst!
Mar 10Reply
Trending Now
Find Similar Listings
Account is under Review
Comment posting is temporarily restricted. Our team will reach out to you shortly. To understand why, select
Learn More.


























